原標題:2024年ISO公布的15種創制農藥新品種
有害生物對農藥耐藥性的不斷進化和擴散使作物保護的有效性面臨重大挑戰,而農藥產品的注冊登記與法規監管的日趨嚴格導致市場上實際可供選用的農藥品類減少。農民和種植者迫切需要獲得新型農藥來控制農業生產中的有害生物,以維持農業可持續發展、保障糧食安全。全球各大農藥公司和研究機構繼續致力于新農藥的創制研究,應用多種研究理論、方法和策略,篩選得到具有潛在商業化價值新品種,并向國際標準化組織(ISO)農藥通用名技術委員會提交英文通用名申請。
2024年ISO批準并公布的來自中國、日本、美國、瑞士和意大利農藥公司申請的15種農藥新品種的英文通用名(表1),涉及殺蟲/螨劑6種、殺菌/線蟲劑7種、除草劑2種。其中,8種農藥為中國創制的新品種,具體有殺蟲/殺螨劑苯芐螨胺和氟溴蟲酰胺,殺菌/線蟲劑苯醚唑酰胺、氟喹菌酯、氧線威和甾烯醇,除草劑氟溴草醚和苯嘧草唑。甾烯醇已在中國注冊登記和上市銷售,其他產品的產業化開發和登記應用已在開展中。
表1 2024年ISO公布的15種農藥新品種

1 殺蟲/殺螨劑
按化學結構和作用機制類型,ISO在2024年新公布的6種殺蟲/殺螨劑可分為三氟乙基硫醚、吡啶基苯并噁唑、煙酰胺、吡啶基吡唑酰胺、間苯二甲酰胺(或間甲酰氨基苯甲酰胺)和RNA 6大類。
1.1 三氟乙基硫醚類殺螨劑
苯芐螨胺是繼氟螨雙醚(bisulflufen)后第2個獲ISO批準的中國自主創制的三氟乙基硫醚類殺螨劑,具有獨特的化學機構,推測其作用機制與氟螨雙醚以及三氟乙基亞砜類殺螨劑sulfiflumin和flupentiofenox類同,為線粒體脂肪代謝和能量生成抑制劑。室內生測結果表明,苯芐螨胺在6.25、3.12 mg/L時對朱砂葉螨的致死率均>90%(72 h),且在低質量濃度時的活性優于丁氟螨酯和聯苯肼酯。據開發公司報道,苯芐螨胺具有胃毒和觸殺活性,以及一定的葉片滲透性,對不同生長發育階段的植食性螨均有效,速效性好且持效性長達25 d以上。苯芐螨胺可能創制思路與合成路線見圖1。

圖1 苯芐螨胺的創制思路和合成路線(X為鹵素或甲磺酸基)
1.2 吡啶基苯并噁唑類殺蟲劑
Cybenzoxasulfyl(開發代號NNI-2101)是日本農藥株式會社研發的含乙磺酰基吡啶和苯并噁唑結構的新型殺蟲劑,可視為對oxazosulfyl的吡啶基團和三氟磺酰基進行修飾得到,在化學結構上與indazapyroxamet也具有一定相似性。據報道分析,cybenzoxasulfyl具有內吸和殺卵活性,對多種作物上的鱗翅目、半翅目和鞘翅目害蟲均有效且對現有藥劑產生耐藥性的害蟲防效優異。推測cybenzoxasulfyl的作用機制類同oxazosulfyl,為狀態依賴性電壓門控鈉通道阻滯劑和囊泡乙酰膽堿轉運蛋白(VAChT)抑制劑。室內生測結果表明,cybenzoxasulfyl在500 mg/L劑量下,對桃蚜(6 d)、灰飛虱(8 d)和小菜蛾卵(6 d)的防效均達100%。進一步的研究結果表明,cybenzoxasulfyl按10 mg/L噴霧處理對棉蚜和桃蚜成蟲的防效分別為69%~96.6%(6~11 d)、66.2%(4 d),與tiadinil、氟苯蟲酰胺(flubendiamide)、indanofan、螺蟲乙酯(spirotetramat)和其他多種農藥混用對稻瘟病、小菜蛾、鴨舌草、褐飛虱和蚜蟲等防控具有協同增效作用。在公共衛生方面的活性測試結果表明,cybenzoxasulfyl按5 mg/m2殘留暴露處理對德國小蠊若蟲(1 d)和雌性岡比亞按蚊(4 d)和白蟻的防效均達100%,按100 mg/m2殘留暴露處理對小黃家蟻(3 d)的防效也達100%。由于注冊和盈利可預期,該產品正在日本、韓國和印度等國開展應用研究與注冊登記。Cybenzoxasulfyl以(R)-對映體為主,熔點58~60℃,其可能創制思路與合成路線見圖2,合成可共用oxazosulfyl的中間體。

圖2 Cybenzoxasulfyl的創制思路與合成路線
1.3 煙酰胺類殺蟲劑
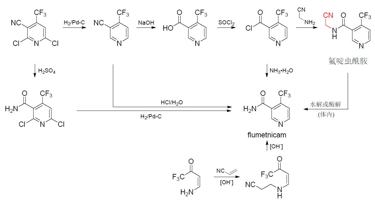
Flumetnicam(文獻代碼TFNA-AM)是由日本石原產業株式會社(ISK)最先研發報道的殺蟲劑,后被證實也是氟啶蟲酰胺在靶標害蟲體內的活化代謝物。據報道,flumetnicam具有優異的根內吸活性,其作用機制與氟啶蟲酰胺相同,為煙酰胺酶抑制劑,即通過煙酰胺的累積間接激活弦音器瞬時受體電位香草酸亞型(TRPV)通道發揮殺蟲活性,與吡蚜酮、吡啶喹唑啉、雙丙環蟲酯和嗪蟲唑酰胺無交互抗性或很低交互抗性風險。室內生測結果表明,flumetnicam在800 mg/L時對桃蚜若蟲(5 d)和棕櫚薊馬成蟲(8 d)的殺死率均為100%。在中國的進一步研究結果表明,flumetnicam對桃蚜若蟲、水稻褐飛虱若蟲和白粉虱1~2齡若蟲的半致死濃度(LC50,mg/L)分別為2.62(3 d)、1.51(10~15 d)和1.71(3 d),且與吡蚜酮或螺蟲乙酯混用具有顯著的協同增效作用。由于比氟啶蟲酰胺具有更快的擊倒作用,先正達公司將flumetnicam作為衛生殺蟲劑進行開發,相關研究結果表明,該殺蟲劑可通過擊倒或食血抑制控制攜帶疾病的或食血性(攝食血液)的蚊、蠅、臭蟲和獵蝽等雙翅目、錐獵蝽亞科和臭蟲科等多類別衛生害蟲。然而,埃及伊蚊等昆蟲表皮穿透性降低會降低其對flumetnicam的敏感性;對于岡比亞按蚊,flumetnicam與氟啶蟲酰胺存在交互抗性,但兩者與氯菊酯都無交互抗性。在美國和歐盟等國家和地區,flumetnicam被作為氟啶蟲酰胺在食品中的殘留定義物。Flumetnicam熔點162.7℃,可制成50%WP和WG,可能創制思路和不同合成路線見圖3,合成可共用氟啶蟲酰胺的中間體,推測其生產成本比氟啶蟲酰胺低。

圖3 Flumetnicam的創制思路和合成路線
1.4 吡啶基吡唑酰胺類殺蟲劑
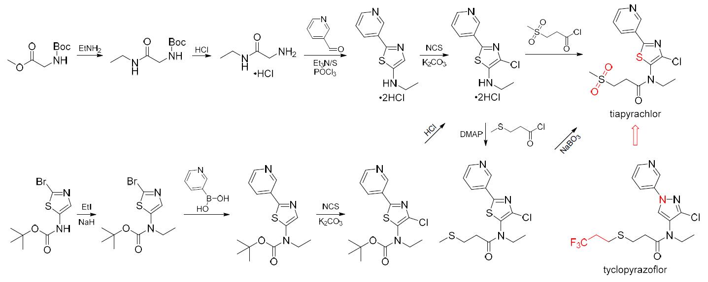
Tiapyrachlor(開發代號X12019747、XR-120和XDE-120)是科迪華公司繼tyclopyrazoflor之后開發的又一吡啶基吡唑酰胺類殺蟲劑,可視為用噻唑和甲磺酰基對后者進行修飾得到。推測tiapyrachlor的作用機制與tyclopyrazoflor類同,主要通過干擾昆蟲的神經傳遞系統而使昆蟲行為失常并最終死亡。與直接或間接作用于弦音器TRPV通道的殺蟲劑類同,tiapyrachlor對刺吸式口器害蟲具有突出的選擇活性。室內生測結果表明,tiapyrachlor 200 mg/L對無翅桃蚜成蟲、若蟲(3 d)和煙粉虱若蟲(8~9 d)的殺死率≥80%。進一步的研究結果表明,tiapyrachlor在低劑量時對桃蚜(0.078~1.25 mg/L)和煙粉虱(0.01~0.1 mg/L)具有一定殺蟲活性,但在400~4,000 mg/L的高劑量時卻對西花薊馬、西部牧草盲蝽(Lygus hesperus)、新熱帶棕椿象(Euschistus heros)和甜菜夜蛾的活性較低或沒有活性,與包括直接或間接作用于弦音器TRPV通道的殺蟲劑在內的多種殺蟲劑混用都具有顯著的增效作用。Tiapyrachlor可能創制思路和2條合成路線見圖4,合成可共用tyclopyrazoflor的中間體。

圖4 Tiapyrachlor的創制思路和合成路線
1.5 間苯二甲酰胺類殺蟲劑
浙江宇龍藥業有限公司開發的氟溴蟲酰胺(開發代號SYN2971)是繼環丙氟蟲胺(cyproflanilide)和多氟蟲雙酰胺(piperflanilide)后,中國自主創制的第3款通用名獲ISO批準的間苯二甲酰胺類殺蟲劑,熔點152.4~153.2℃。該殺蟲劑可視為用甲氧乙基對環丙氟蟲胺(cyproflanilide)的環丙烷甲基進行修飾得到,推測其作用機制與溴蟲氟苯雙酰胺(broflanilide)、環丙氟蟲胺和多氟蟲雙酰胺相同,為γ-氨基丁酸門控氯離子通道變構調節劑。室內生測結果(表2)表明,氟溴蟲酰胺對鱗翅目害蟲小菜蛾、二化螟和草地貪夜蛾的敏感和抗性種群幼蟲具有高殺蟲活性,無論是速效性還是低濃度的害蟲殺死率都優于溴蟲氟苯雙酰胺。氟溴蟲酰胺可能創制思路與合成路線見圖5,以2-氟-3-氨基苯甲酸甲酯計,先酰胺化路線和后酰胺化路線總收率分別為90.3%、78.6%,合成可共用溴蟲氟苯雙酰胺、環丙氟蟲胺和多氟蟲雙酰胺的中間體,使用乙醇、異丙醚或乙二醇單甲醚重結晶所得晶體晶型一致且穩定性好。
表2 氟溴蟲酰胺與溴蟲氟苯雙酰胺的殺蟲活性比較


圖5 氟溴蟲酰胺的創制思路和合成路線
1.6 RNA類殺螨劑
Vadescana為干擾寄生于蜜蜂體外的狄氏瓦螨(Varroa destructor)性狀基因EP15的特異性重組雙鏈核糖核酸(dsRNA),是繼ledprona后美國綠燈生物科技公司研發的第2款獲ISO批準的RNA類生物農藥。狄氏瓦螨的腸道中存在將dsRNA帶入細胞并在那里激活正常細胞機制的受體,故vadescana進入后通過特異性地沉默狄氏瓦螨的鈣調蛋白基因,使其轉錄表達受阻或下調而死亡。一般將vadescana的蔗糖溶液置于帶孔的密封袋后在春季和秋季于蜂箱內懸掛,蜜蜂在化蛹之前將含有dsRNA的糖漿當成花蜜放入細胞(血淋巴),狄氏瓦螨暴露在那里而取食。Vadescana 2、8 g/L雖不能影響瓦螨若蟲和成蟲的存活,但可顯著降低其繁殖力,使大多數暴露的雌螨不能產生后代。然而,這種抑制作用在短期內(2個月)卻不依賴其劑量。
鑒于dsRNA是核苷酸序列特異性,它可以被設計成沉默瓦螨特異性的基因,從而最大限度地減少對蜜蜂和其他非靶標物種的任何意外影響機會。野外試驗、環境歸宿和生態毒性研究結果也證實,vadescana的殘留可以忽略不計,不會對蜜蜂和其他傳粉媒介產生不利影響。Vadescana的dsRNA分子在糖漿中快速降解,使其對蜂巢的安全性較高。同時,由于在進食后可被消化系統降解,血液和細胞上的屏障也會降低其生物反應的可能性,vadescana對人類和其他脊椎動物安全。該殺蟲劑是含有402個嘌呤和嘧啶堿基對的大分子,由腺嘌呤(A)、胞嘧啶(C)、鳥嘌呤(G)和尿嘧啶(U)構成。其堿基序列見圖6,末端ITS共30個堿基對是制造dsRNA所需的序列,在該RNA中沒有殺螨活性。推測與其他dsRNA產品類同,vadescana可通過細菌表達和無細胞合成來實現規模化生產。

圖6 Vadescana的dsRNA子序列的堿基序列(ITS為內部轉錄序列)
2 殺菌/殺線蟲劑
按化學結構和作用機制類型,ISO在2024年新公布的7種殺菌/殺線蟲劑可分為甲氧基丙烯酸酯、喹啉酰胺、吡唑酰胺、喹諾酮酸酯、多酚、氨基甲酸酯和類固醇7大類。
2.1 甲氧基丙烯酸酯類殺菌劑
Bifemetstrobin(開發代號S-2326)是日本住友化學株式會社開發的新型殺菌劑,其化學結構與嘧菌酯相似,可視為由4-甲基聯苯氧基對2-位的芳環進行修飾得到。與其他甲氧基丙烯酸類殺菌劑不同,bifemetstrobin在甲氧基丙烯酸酯和苯環之間插入了氧原子。推測bifemetstrobin的作用機制與甲氧基丙烯酸酯類殺菌劑類同,均為呼吸鏈線粒體復合物Ⅲ細胞色素bc1(泛醇氧化酶)外側Qo位點(cyt b基因)抑制劑。室內生測結果表明,bifemetstrobin在500 mg/L時對水稻稻瘟病(6 d)、小麥白粉病(7 d)、銹病(7 d)、疫病(11 d)和紋枯病(11 d),以及葡萄霜霉病(7 d)、黃瓜白粉病(12 d)的預防效果>90%。Bifemetstrobin與吡唑酰胺和吡啶酰胺類殺菌劑混用具有協同增效作用。進一步的研究結果表明,bifemetstrobin的復配對小麥殼針孢葉枯病菌(Septoria tritici,敏感系及抗性系)、黃瓜白粉病(Sphaerotheca fuliginea)、炭疽病(Colletotrichum lagenarium,敏感系及抗性系)和霜霉病(Pseudoperonospora cubensis,敏感系及抗性系)、番茄葉霉病(Cladosporium fulvum)、大豆銹病(Phakopsora pachyrhizi,敏感系及抗性系)、灰斑病(Cercospora sojina,敏感系及抗性系)和霜霉病(Erysiphe diffusa)、小麥葉銹病(Puccinia recondita)、水稻稻瘟病(Magnaporthe grisea,敏感系及抗性系)、大麥網斑病(Pyrenophora teres,敏感系及抗性系)、豆角菌核病(Sclerotinia sclerotiorum)和大麥云紋病菌(Rhynchosporium secalis,敏感系及抗性系)、玉米灰斑病菌(Cercospora zeae-maydis)和馬鈴薯早疫病(Alternaria solani)等多種病害均具有較高活性。Bifemetstrobin為(Z)-式異構體,可能創制思路和合成路線見圖7,粗品可用二甲苯、二甲苯/甲醇混合液、乙酸乙酯/正己烷混合液重結晶或硅膠柱層析精制提純。

圖7 Bifemetstrobin的創制思路與合成路線
2.2 喹啉酰胺類殺菌劑
Feneptamidoquin(開發代號SYN551769)在化學結構上與quinofumelin存在較高相似性,可視為由后者的異喹啉開環并將腙基變換為酰胺基、甲基變換為異丁基、二氟去掉后再將氟原子引入至喹啉8-位得到。推測feneptamidoquin的作用機制與quinofumelin類同,為嘧啶從頭生物合成途徑中的二氫乳清酸脫氫酶(DHODH)抑制劑。室內生測結果(表3)表明,feneptamidoquin及其(S)-對映體和外消旋體在20~200 mg/L時對灰霉病、赤霉病、炭疽病、全蝕病、根腐病、菌核病、稻瘟病、葉枯病、穎斑枯病和網斑病等病害具有良好的預防和治療效果。同時,feneptamidoquin與吡唑酰胺、三唑、甲氧基丙烯酸酯和二硝基苯胺等類別殺菌劑混用對多種真菌性病害具有較好的防控作用。Feneptamidoquin為(R)-對映體占優勢(含量≥80%)的殺菌劑,其外消旋體熔點為110~112℃,可能創制思路和合成路線見圖8。Feneptamidoquin可由其外消旋體拆分得到,或由8-氟喹啉-3-甲酰氯與(2R)-2,4-二甲基-1-苯基-戊-2-胺直接反應得到。
表3 Feneptamidoquin及其(S)-對映體和外消旋體的殺菌活性


圖8 Feneptamidoquin的創制思路和合成路線
2.3 吡唑酰胺類殺菌劑
苯醚唑酰胺(開發代號LH-371)是繼氟苯醚酰胺(flubeneteram)后又一中國自主創制的吡唑酰胺類殺菌劑。推測苯醚唑酰胺的作用機制與其他吡唑酰胺類殺菌劑類同,也為作用于呼吸鏈電子傳遞復合體Ⅱ的琥珀酸脫氫酶抑制劑(SDHI)。室內生測結果表明,苯醚唑酰胺在3.125~100 mg/L時對大豆和玉米銹病、小麥和黃瓜白粉病、水稻紋枯病的防效均達100%(7 d),優于同等劑量下的苯并烯氟菌唑(benzovindiflupyr)、氟唑菌酰胺(fluxapyroxad)、丙硫菌唑和氟環唑。田間試驗結果表明,苯醚唑酰胺對黃瓜白粉病的防效優于pyriflumetofen和乙嘧酚,對小麥白粉病的防效優于苯并烯氟菌唑、pyriflumetofen和丙硫菌唑,對大豆銹病優于丙硫菌唑、嘧菌酯而與苯并烯氟菌唑相當。苯醚唑酰胺可能創制思路與合成路線見圖9,合成可共用吡唑酰胺類殺菌劑的中間體。

圖9 苯醚唑酰胺的創制思路和合成路線
2.4 喹諾酮類殺菌劑
氟喹菌酯(開發代號LH-363)是山東省聯合農藥工業有限公司開發的又一新型殺菌劑。從化學結構上看,氟喹菌酯與環丙沙星(ciprofloxacin)和噁喹酸(oxilinic acid)等喹諾酮類抗菌藥物具有較高的相似性,可視為由環丙沙星進行苯環上的取代基替換和羧基酯化保護得到。推測其作用機制與喹諾酮類抗菌藥物類同,為靶向細菌的DNA促旋酶(DNA gyrase)和拓撲異構酶Ⅳ(topoisomerase Ⅳ)抑制劑。室內生測結果表明,氟喹菌酯對黃瓜細菌性角斑病、煙草青枯病、馬鈴薯黑脛病、甘薯莖腐病、水稻白葉枯病、西瓜果斑病、大白菜黑腐病和軟腐病、木薯細菌性枯萎病、梨火疫病等細菌性病害的離體抑菌活性(1 mg/L)和活體保護效果(5 mg/L)均>90%,都顯著優于喹啉銅和中生菌素;在200 mg/L時對作物安全且可促進作物生長發育(生長速率、葉綠素和葉面積都增加)。氟喹菌酯可能創制思路和合成路線見圖10,其合成可以環丙沙星的關鍵中間體為起始原料。

圖10 氟喹菌酯的創制思路與合成路線
2.5 多酚類殺菌/殺線蟲劑
Galquin是意大利天然植物提取物公司施華團隊股份公司(Silvateam S.p.A.)研發的新型生物殺菌劑和殺線蟲劑。該生物農藥是從豆科植物刺云實(Tara spinosa或Caesalpinia spinosa)豆莢中提取得到的多酚類混合物,主要成分為奎寧酸及其與沒食子酸單體、二聚體和三聚體形成的酯的多種混合物。推測其可能具有多靶標位點和獨特的作用機制。Galquin早先作為生物刺激素被報道,其單用或與含陽離子的有機/礦物鹽混用噴霧或種子處理生菜、西紅柿、葡萄、大豆和苜蓿等作物,可有效緩解水、熱和藥害等非生物脅迫和線蟲引起的生物脅迫,增強光合作用,提升作物的硬度和生產力(重量和品質)。后來進一步的研究結果表明,galquin與皂苷混用具有協同增效作用,兩者混合液進行種子處理可有效控制根結線蟲及由其介導傳播的土傳病害。Galquin的化學結構見圖11,其中奎寧酸和沒食子酸二聚體形成的酯與單寧(tannin)存在一定相似性。

圖11 Galquin的化學結構及與單寧的比較
2.6 氨基甲酸酯類殺菌/殺線蟲劑
氧線威是由杜邦公司(Dupont,現科迪華公司)最先研究報道而由中國公司開發的新型殺線蟲劑,可視為由殺線威(oxamyl)進一步將硫醚氧化至砜得到。推測其作用機制與殺線威一致,為乙酰膽堿酯酶(ACh E)抑制劑。氧線威對哺乳動物低毒,在自然環境中易水解,其安全性優于殺線威。氧線威既可預防藻菌綱類真菌引起的多種作物病害,也可用于線蟲防控。研究結果表明,南方根結線蟲2齡幼蟲的LC50為7.41~12.52 mg/L(24~72 h),90%致死濃度(LC90)為36.84~56.41 mg/L(24~72 h),對南方根結線蟲卵孵化的半抑制濃度(IC50)和90%抑制濃度(IC90)分別為59.48、510.84 mg/L(7 d),生物活性優于殺線威和噻唑膦。氧線威為(Z)-式異構體,可由殺線威的關鍵中間體殺線威肟先氧化后再酯化得到,或直接由殺線威氧化得到(圖12)。

圖12 氧線威的創制思路和合成路線
2.7 類固醇類殺菌劑
甾烯醇又名β-谷甾醇,為植物源病毒抑制劑,被植物葉片吸收后鈍化病毒并抑制其復制,同時誘導寄主植物產生抗性(如提高苯丙氨酸酶、超氧化物歧化酶和過氧化物酶等抗病相關保護酶的活性,以及PR-1a和PR-5等抗病相關基因的表達量)而阻止病毒侵染。室內生測研究結果表明,甾烯醇在500 mg/L時對煙草花葉病毒的治療活性為45.6%(3~5 d),在100 mg/L時對預防保護和鈍化番茄斑萎病毒的抑制率分別為37.3%、8.8%(5 d),分別優于和不敵寧南霉素。進一步的研究結果表明,7.2%甾烯醇SL按劑量3,000 mL/hm2從發病初期開始施用3次(每次間隔7 d)對番茄花葉病毒病的防效達到72.3%,優于20%鹽酸嗎啉胍+乙酸銅WP。對小麥黃矮病的研究結果表明,甾烯醇的半效應濃度(EC50)為3.385 mg/L,田間按15 mg/L噴施2 d的預防和治療防效分別為82.63%、76.16%。甾烯醇的制劑0.66%TK和0.06%ME已獲中國農業農村部登記批準,相關用法見表4,應注意于病毒病發病前或初期施用,并配合殺蟲劑使用以切斷傳播蟲媒。甾烯醇可由棉籽油泥、煙草或錦葵科(Malvaceae)等植物提取得到。以錦葵科植物為例,可將其枝葉和樹皮粉碎、加水浸泡后用乙酸乙酯提取并減壓濃縮得到,其化學結構見圖13,與28-高蕓苔素內酯具有較高的相似性。
表4 0.06%甾烯醇ME在中國登記的使用方法


圖13 甾烯醇的化學結構及與28-高蕓苔素內酯的比較
3 除草劑
按化學結構和作用機制類型,ISO在2024年新公布的2種除草劑可分為芐基醚和N-苯基酰亞胺(或苯基尿嘧啶)2大類。
3.1 芐基醚類除草劑
氟溴草醚是青島清原化合物公司創制的又一新型除草劑,可視為對環庚草醚(cinmethylin)的苯環進行取代修飾得到。該除草劑的作用機制類同環庚草醚,為脂肪酸硫酯酶(FAT)抑制劑。室內生測結果表明,氟溴草醚按30、60 g/hm2苗前處理對黑麥草、看麥娘、菵草和狗尾草等禾本科雜草的生長抑制率≥90%(28 d),同時對花生、大豆、玉米和棉花等作物安全;按7.5 g/hm2苗后處理可完全殺死抗吡嘧磺隆的稻稗和稗草(14 d),在劑量30 g/hm2時對水稻安全。由于與當前主流除草劑無交互抗性,氟溴草醚單用對水稻田和小麥田間抗ALS抑制劑類除草劑的鴨舌草、丁香蓼、黑麥草、看麥娘、菵草和異型莎草等禾本科雜草和莎草具有極高活性,與其他除草劑混用對甘蔗、油菜、馬鈴薯、果樹和蔬菜田間的多種禾本科和闊葉雜草也具有顯著的協同增效作用。據報道,該除草劑可用于水稻、小麥、玉米、大豆和花生及部分闊葉蔬菜作物田間雜草封閉,在水稻移栽、旱直播和水直播田間使用對稗草、稻稗、千金子和馬唐等主要禾本科雜草及部分莎草科雜草的封閉效果突出,在水田苗后早期對低齡雜草也有一定防效。氟溴草醚是(1S,2R,4R)-對映體和(1R,2S,4S)-對映體占優勢(兩者總含量≥50%)的除草劑,且這兩種對映體的除草活性大致相當。氟溴草醚可能的創制思路和合成路線見圖14,合成可共用環庚草醚的關鍵中間體。

圖14 氟溴草醚的創制思路與合成路線(X為溴或氯)
3.2 N-苯基酰亞胺類除草劑
苯嘧草唑(試驗代號SYP-3301、SYP-3356,開發代號SY-1604、JS-T205)是沈陽中化農藥化工研發有限公司采用“中間體衍生化法”經過多輪DSTA(設計-合成-測試-分析)發現并由南通江山農藥化工有限公司獨家開發的新型除草劑。苯嘧草唑可視為由苯嘧磺草胺(saflufenacil)環合后進一步修飾得到,也屬于原卟啉原氧化酶(PPO)抑制劑。研究結果表明,苯嘧草唑可制成35%EC和60%WG,對多種單子葉、雙子葉雜草都具有較高活性,室內和田間藥效都優于同劑量的苯嘧磺草胺。其中,苯嘧草唑7.5 g/hm2室內苗后處理對2~3葉期稗草、金色狗尾草和4葉期馬唐,2~4葉期百葉草、苘麻和反枝莧,以及5葉期水莎草等雜草都具有70%以上的防效;苯嘧草唑60 g/hm2田間處理對果園禾本科雜草、闊葉雜草以及全部禾本科和闊葉的田間防效都在61.7%以上。特別地,苯嘧草唑可有效防除抗性牛筋草和小飛蓬,單用或與草甘膦等其他除草劑混用可有效防除小麥、水稻、玉米、大豆、棉花和油菜等作物田間的雜草。先正達公司于2018年在美國進行的田間試驗結果表明,苯嘧草唑的防效優于草銨膦、苯嘧磺草胺、唑草酮和丙炔氟草胺,且對禾本科雜草防效優異。預計該除草劑于2025年上市,由開發公司和先正達公司共同進行全球市場開發。苯嘧草唑含有1個手性中心,對哺乳動物、蜜蜂、鳥類、魚類、溞類和家蠶的急性毒性較低且易分解,其可能的創制思路和合成路線見圖15,合成可共用苯嘧磺草胺、氟嘧硫草酯(tiafenacil)和epyrifenacil等的關鍵中間體。

圖15 苯嘧草唑的創制思路和合成路線(X為鹵素)
4 總結與展望
農藥新品種的研究開發、登記上市與推廣應用為農民和種植者提供了更多可供選用的工具,有利于克服有害生物耐藥性增強和農藥注冊監管趨嚴帶來的挑戰,實現農藥減量增效和生物多樣性保護的目標,為維持農業及經濟社會的可持續發展、保障糧食安全提供重要支撐。雖然農藥新品種的商業化還涉及生產研發投入、應用技術探索、田間藥效評估和注冊登記推廣等眾多方面,但向ISO申請并獲取國際英文通用名是將具有潛在開發價值的農藥新品種推向國際市場的重要一步,也是對農藥進行管理的重要環節。結合我們之前的報道進行統計(圖16),1998—2024年ISO先后批準并公布了292種農藥新品種的英文通用名,其中涉及中國創制農藥50種,約占總數的17.1%。從數量趨勢上看,全球獲批的農藥新品種在逐年下降而中國在持續上升。在此趨勢之下,作為農業領域中國承擔的首個國際秘書處,國際標準化組織農藥命名技術委員會(ISO/TC81)秘書處也在2024年成功落戶中國,并于9月1日起從英國標準協會(BSI)正式接管該秘書處及ISO1750和ISO765維護機構的工作。這將進一步促進中國農藥創制的快速發展和走向世界。

圖16 1998-2024年ISO公布的農藥新品種數量及其趨勢
分析2024年ISO新公布的品種,新農藥研究開發呈現如下特點和趨勢:bifemetstrobin、氟溴草醚、cybenzoxasulfyl、feneptamidoquin、苯嘧草唑、氧線威和甾烯醇為立體異構體,其中bifemetstrobin和氧線威為(Z)-式異構體,cybenzoxasulfyl和feneptamidoquin為(R)-對映體或以該對映體為主,氟溴草醚以(1S,2R,4R)-和(1R,2S,4S)-對映體占優勢;苯芐螨胺、苯醚唑酰胺、氟溴草醚、cybenzoxasulfyl、flumetnicam、氟喹菌酯、苯嘧草唑、氧線威、tiapyrachlor和氟溴蟲酰胺都可共用已有的原藥或原料藥的關鍵中間體進行合成,氧線威還可由殺線威直接氧化得到;苯芐螨胺、cybenzoxasulfyl、galquin、tiapyrachlor和vadescana等很可能具有不同于傳統農藥的作用機制,有望成為有害生物綜合治理和抗性防治的新工具。作為農藥未來發展的重要方向,生物農藥是值得重點投入進行研究和開發的領域,如本次批準公開的RNA類殺螨劑vadescana、天然多酚類殺菌/殺線蟲劑galquin以及天然類固醇類抗病毒劑甾烯醇都具有較好的市場前景。隨著科學技術的進步和生產制造成本的降低,以醫藥和獸藥活性成分為先導化合物進行創制開發有望得到全新農藥,如基于獸用殺細菌劑創制得到了高效農用殺菌劑氟喹菌酯;而對已報道的化合物進行生產和應用開發也有望獲得成功,如具有更低生產成本和更高擊倒作用的flumetnicam、具有更高安全性和殺菌殺線蟲活性的氧線威。另一方面,作為細分市場的殺螨劑、殺線蟲劑和抗病毒劑的研究開發值得繼續關注。
此外,2024年英文通用名獲ISO批準公布的農藥新品種中,中國創制品種占比高達53.3%,連續3年超過50%;就ISO英文通用名獲批和專利申請時間差來說,中國企業對農化新品種的開發速度也更快。然而,通用名獲批的中國創制農藥多為對已有農藥品種或化合物的局部修飾或直接開發應用,其走向國際市場并實現較高經濟和社會效益的難度還較大。
展望未來,應進一步加強對這些農藥新品種的研究開發和應用推廣。一方面,加強原藥和制劑的研究開發,通過路線優化、工藝改進、生產集約和配方升級等措施提高產品品質而降低生產成本。同時,加強農藥創制投入及理論和方法的創新,不斷探索新的作用靶標和先導化合物,引入人工智能輔助研究設計,持續研發具有全新化學結構和作用機制的、符合法規和未來可持續發展要求的綠色品種。另一方面,關注和監測靶標有害生物對抗性發生發展情況,并開展相關作用機制研究,通過與其他防治措施相結合、與其他農藥混用或輪換和引入增效劑等措施實現減量增效的有害生物綜合治理和抗性管理。同時,根據產品特性積極探索與之相適應的配套實踐技術并加以應用,在確保作物、環境和生態安全的前提下不斷發掘新品的競爭優勢,廣泛開展田間試驗與示范、應用培訓與推廣,使其成為解決農業種植痛點難點、作物提質增產和農民增收的可靠工具。
信息來源:《世界農藥》2025年01期